-
苯甲酸 编辑
苯甲酸(Benzoic acid)是一种芳香酸类有机化合物,也是最简单的芳香酸,化学式为C7H6O2。最初由安息香胶制得,故称安息香酸。熔点122.13 ℃,沸点249.2 ℃,相对密度(15/4 ℃)1.2659。外观为白色针状或鳞片状结晶。100 ℃以上时会升华。微溶于冷水、己烷,溶于热水、乙醇、乙醚、氯仿、苯、二硫化碳和松节油等。苯甲酸以游离酸、酯或其衍生物的形式广泛存在于自然界中。主要用于制备苯甲酸钠防腐剂,并用于合成药物、染料,还用于制增塑剂、媒染剂、杀菌剂和香料等。可由甲苯在二氧化锰存在时直接氧化制得,或用水蒸气将苯二甲酸酐脱羧制备。
中文名:苯甲酸
外文名:Benzoic acidCarboxybenzenePhenylformic acidBenzene carboxylic acid
别名:安息香酸、苯酸、苯蚁酸、苄酸
化学式:C7H6O2
分子量:122.1214
CAS登录号:65-85-0
EINECS登录号:200-838-9
熔点:122.13 ℃
沸点:249.2 ℃
水溶性:微溶
外观:白色针状或鳞片状结晶
闪点:121 ℃
应用:香料、医药、增塑剂、媒染剂、防腐剂等
安全性描述:S22;S23;S24/25;S26;S36/37/39;S45;S53
危险性符号:Xn
危险性描述:R22;R36/37/38;R42/43
UN危险货物编号:3077
19世纪50~70年代,从苯甲酰氨基乙酸中提取了生产药品所需的少量苯甲酸。
19世纪70年代,从邻苯二甲酸与氢氧化钙加热生产的邻苯二甲酸钙盐中回收苯甲酸。
19世纪90年代,用苯次甲基三氯水解法生产苯甲酸。第一次世界大战后出现了一些新的生产方法,其中邻苯二甲酸酐,邻苯二甲酸气相或液相脱羧生产苯甲酸是主要的生产方法。第二次世界大战后,甲苯液相空气氧化法迅速发展起来,逐渐成为生产苯甲酸的主要方法。
20世纪中期开始以工业规模生产苯甲酸。首先用甲苯液相空气氧化法生产苯甲酸的是美国联合
苯甲酸是苯环上的一个氢被羧基(—COOH)取代形成的化合物。苯甲酸的羰基与苯环平面分别成15°时,原子(基团)的空间作用能最低,成优势构象,间位具有较高电荷密度,在亲电取代反应中羰基(—COR)为间位定位基 。物理性质
苯甲酸是有光泽的、白色的、单斜品薄片状或针状结品。质轻,无气味或微有类似安息香或苯甲醛的气味。它的蒸气有很强的刺激性,吸入后易引起咳嗽。能随水蒸气挥发。在约100 ℃时开始升华 。
1 g苯甲酸溶于2.3 mL冷乙醇、1.5 mL沸乙醇、4.5 mL氯仿、3 mL乙醚、3 mL丙酮、30 mL四氯化碳、10 mL苯、30 mL二硫化碳、23 mL松节油。水中溶解度随碱性物质(如硼砂、磷酸三钠)的存在而增加 。
苯甲酸的常用物理性质数据如下表所示 :
项目 | 数值 | |
升华温度(℃) | 100 | |
折射率 | 15 ℃ | 1.53974 |
131.9 ℃ | 1.504 | |
临界常数 | 温度(℃) | 479 |
压力(kPa) | 4468.4 | |
密度(g/cm3) | 0.358 | |
压缩因子 | 0.244 | |
偏心因子 | 0.62 | |
离解常数25 ℃(Ka) | 6.339X10-5 | |
液体密度(g/cm3) | 130 ℃ | 1.078 |
160 ℃ | 1.049 | |
190 ℃ | 1.019 | |
220 ℃ | 0.9873 | |
蒸气压(kPa) | 96.0 ℃ | 0.1 |
146.7 ℃ | 2.7 | |
186.2 ℃ | 13.3 | |
249.2 ℃ | 101.3 | |
摩尔热容 | 180 ℃ | 232.95 |
210 ℃ | 240.91 | |
240 ℃ | 248.99 | |
270 ℃ | 257.32 | |
蒸发潜热(J/mol) | 130 ℃ | 59323 |
160 ℃ | 57355 | |
190 ℃ | 55270 | |
220 ℃ | 53043 | |
在水中溶解度(g/100g水) | 0 ℃ | 0.17 |
25 ℃ | 0.34 | |
50 ℃ | 0.85 | |
80 ℃ | 2.75 | |
其他溶剂中溶解度25 ℃(g/100g溶剂) | 无水乙醇 | 58.4 |
乙醚 | 40.8 | |
氯仿 | 15.02 | |
甲苯 | 10.6 | |
甲醇(23 ℃) | 71.5 | |
四氯化碳 | 4.14 | |
丙酮 | 55.6 | |
苯 | 12.17 | |
乙烷(17 ℃) | 0.94 | |
气体粘度(mPa·s) | 400K | 86.78x10-4 |
600K | 129.44x10-4 | |
800K | 170.19x10-4 | |
液体粘度(mPa·s) | 130 ℃ | 1.29 |
160 ℃ | 0.9 | |
190 ℃ | 0.659 | |
化学性质
苯甲酸是最简单的芳香族羧酸,具有芳香性,也具有羧酸的性质,因此可发生两大类化学反应,一是苯环上的取代反应,二是羧基的反应。苯甲酸是弱酸,比脂肪酸强。它们的化学性质相似,都能形成盐、酯、酰卤、酰胺、酸酐等,都不易被氧化。苯甲酸的苯环上可发生亲电取代反应,主要得到间位取代产物。
在羧基上的反应
(1)转变成盐
苯甲酸在水中电离常数Ka=6.4×10-5(25 ℃),苯甲酸的酸性稍强于环己烷甲酸,这是由于苯环上的sp2杂化碳原子电负性较大,给电子作用较弱。可以与碱或者碱性物质反应 。
与碳酸氢钠反应
(2)转变成酯
苯甲酸与醇(如甲醇、丁醇、苄醇等)反应,生成相应的酯。例如 :
与醇反应
(3)转变成酰氯
苯甲酸中的羟基被氯取代生成苯甲酰氯,用于这个反应的含氯试剂有五氯化磷、三氯化磷和亚硫酰氯。例如 :
转变成酰氯
(4)转变成酸酐
苯甲酸与脱水剂一起加热时,两分子苯甲酸脱去一分子水生成苯甲酸酐。常用乙酸酐作脱水剂,磷酸作催化剂。
转变成酸酐
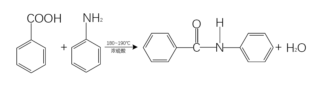
(5)转变成酰胺
苯甲酸与苯胺在180~190 ℃的温度下反应,生成苯甲酰苯胺(N-苯甲酰替苯胺),该反应的产率约为84%。
转变成酰胺
(6)氧化反应
用苯甲酸的铜盐作催化剂,用氧气氧化苯甲酸,可生成苯酚和二氧化碳 。
氧化反应
(7)还原反应
在Al(NO3)和Mn(NO3)2配制的催化剂下,苯甲酸可以和氢催化还原得到苯甲醛 。
还原反应
在苯环上的取代反应
苯甲酸在苯环上发生亲电取代反应,苯环上的氢原子和苯的氢原子一样,可被各种原子或原子团取代,但苯甲酸苯环上的段基是吸电子基,是使苯环钝化的间位定位基,因此苯甲酸的磺化、硝化和氯化等取代反应比苯的相应反应要困难一些,使用催化剂和提高反应温度,可以克服这种钝化趋势 。
硝化反应
在苯环上的加氢反应
在金属铂作催化剂的情况下,苯甲酸氢化生成六氢苯甲酸,它是生产己内酰胺的中间体。添加水可使还原速度增快,反应温度和压力应比羧基还原时低 。
苯环上的加氢反应
脱羧反应
苯甲酸可以在加热条件下,脱去羧基并生成二氧化碳,即发生脱羧反应(属于取代反应),反应温度约为150~170 ℃。
脱羧反应
与金属有机化合物的反应
苯甲酸可以与格林试剂、甲基锂等金属有机化合物发生反应,生成对应的金属有机化合物。其中,苯甲酸与甲基锂反应是制备酮的一般方法。
与甲基锂反应
工业制备
最初苯甲酸是由安息香胶干馏或碱水水解制得,也可由马尿酸水解制得。工业上常用甲苯、邻二甲苯或萘为原料制备苯甲酸,上述原料可从煤焦油或石油中获得。此外,由甲苯生产苯甲醛时可副产苯甲酸 。苯甲酸的工业生产方法主要有甲苯液相空气氧化法、三氯甲苯水解法、邻苯二甲酸酐脱羧法,此外还有苄卤氧化法 。
甲苯液相空气氧化法
最早用此法生产苯甲酸的是美国Alied公司。常用的催化剂为可溶性钴盐或锰盐,以乙酸为溶剂。其反应机理为自由基反应,反应温度为165 ℃左右,压力为0.6~0.8 MPa,反应为放热反应。副产物主要有苯甲醛、苯甲醇、邻甲基联苯、联苯、对甲基联苯及酯类。副产物均可回收和利用,尤其是苯甲醛和苯甲醇,其本身单价常为苯甲酸的4~5倍,可以大幅度提高装置的产值和利润。
尽管以甲苯为原料制苯甲酸的氧化法世界上还有气相氧化法、化学计量氧化法,但空气液相催化氧化法不仅三废少,而且反应条件温和,仍是主要生产方法。
甲苯液相空气氧化
三氯甲苯水解法
甲苯于100~150 ℃进行光氯化反应所得三氯苄基苯,在ZnCl2存在下(或用石灰乳及铁粉)与水反应得苯甲酸。以三氯苄基苯计,苯甲酸产率为74%~80%。由于该法耗氯,HCl水溶液加热腐蚀极严重。因此,此法只能是甲苯氯化水解制苯甲醛和苯甲醇的副产物回收利用的补充方法。
三氯甲苯水解
邻苯二甲酸酐脱羧法
该方法可分为液相法和气相法。前者催化剂为邻苯二甲酸铬盐和钠盐等量组成的混合物;后者的脱羧催化剂为等量的碳酸铜和氢氧化钙。副产物有邻苯二甲酸、少量联苯、二苯甲酮和蒽醌。
邻苯二甲酸酐脱羧法
苄卤氧化法
以苄卤为原料,KMnO4作氧化剂也可制得苯甲酸。国内有文章报道用此法制苯甲酸,其后处理过程无需脱色和重结晶就能得到白色苯甲酸晶体,而且产率高达86%,反应是在有相转移催化剂存在下进行的。
苄卤氧化法
上述4种合成方法中,以甲苯液相空气氧化法为主;而甲苯氯化水解制得的产品不宜用于食品工业;邻苯二甲酸酐脱羧法制得的苯甲酸不易精制,成本高,只是在用量不大的药物产品制造过程中采用。
实验室制备
原理:甲苯的甲基被酸性高锰酸钾溶液氧化成羧酸,生成苯甲酸,钾盐(K2SO4)、锰盐(MnSO4)和水。
方程式如下:
实际上在PH=7时,甲苯+高锰酸钾→苯甲酸钾+氢氧化钾+二氧化锰+水
药品与用量:甲苯1.5%20g(1.7%20mL,0.016%20mol)、高锰酸钾5%20g(0.032%20mol)、十六烷基三甲基溴化铵0.1%20g。
操作流程:用100%20mL的圆底烧瓶。安装回流装置。向反应瓶中分别加入5%20g高锰酸钾,0.1%20g十六烷基三甲基溴化铵,1.7%20mL甲苯及50%20mL水,搅拌加热沸腾(剧烈搅拌,猛烈沸腾),保持反应物溶液平稳沸腾。
当大量棕色沉淀生成,高锰酸钾的紫色变浅或消失,甲苯层消失时,反应基本结束。过滤出二氧化锰沉淀,滤液用浓盐酸酸化,析出苯甲酸的沉淀,抽滤得粗产品。
工业
(1)生产苯酚
苯甲酸经液相氧化可以生产苯酚。日前主要生产国有荷兰、美国和加拿大,近年来鲁姆斯(Lumus)公司开发了苯甲酸气相氧化制苯酚工艺%20。
(2)生产对苯二甲酸
对苯二甲酸是合成纤维涤纶的原料之一。苯甲酸钾发生歧化反应生成对苯二甲酸钾和苯,用酸处理反应混合物,可得对苯二甲酸,副产钾盐可循环使用。世界上绝大部分对苯二甲酸是以对二甲苯为原料生产的,而对二甲苯比甲苯要贵得多%20。
(3)生产己内酰胺
己内酰胺是生产尼龙的原料,一股都用苯酚和环己烷生产,也可以用苯甲酸生产%20。
(4)化工中间体
苯甲酸可以作为生产苯甲酸酯和苯二甲酸酯的中间体,苯甲酸酯和苯二甲酸酯是重要的增塑剂。苯甲酸经溴化反应可以制得溴苯甲酸,间-溴苯甲酸可以作为电照像材料的粘合剂。%20
(5)增塑剂
苯甲酸分别与二甘醇、三甘醇、二丙二醇反应分别生成重要的常见的树脂增塑剂二甘醇二苯甲酸酯(DEDB)、三甘醇二苯甲酸酯(TEDB)和二丙二醇二苯甲酸酯(DPGDB),广泛用于树脂、涂料和粘合剂的生产%20。这些酯沸点高,化学稳定性好,主要用作聚氯乙烯树脂,聚醋酸乙烯树脂和聚酯树脂的增塑剂,此外苯甲酸苄酯还可作醋酸纤维素和硝化纤维素树脂的增塑剂%20。
(6)缓蚀剂
苯甲酸钠有缓蚀作用,如把苯甲酸钠加入汽车冷却系统的冷却水中(苯甲酸钠浓度为1.5%)可防止冷却系统生锈和腐蚀。若该冷却装置中包含有铸铁,还需同时加入亚硝酸钠增加缓蚀效果。此外还可以把苯甲酸钠掺入包装纸浆、胶乳涂料、漆、切削油和机器油中防止金属腐蚀%20。
(7)涂料
苯甲酸还可用于改进各种醇酸树脂涂料的光泽、粘性、强度和耐化学腐蚀性。苯甲酸盐和苯甲酸可终止醇酸树脂高聚物的链增长,促进产品的结晶度%20。将苯甲酸引入醇酸树脂之后可使漆膜快干,但又不似苯乙烯那样不耐溶剂。改性后的醇酸树脂制成的漆膜的光泽、硬度和耐水性等都有所提高。
(8)染料载体
苯甲酸、苯甲酸丁酯大量应用在聚酯纤维染色中,在疏水的聚酯纤维染色时,它们可作为染料载体%20。
(9)润滑剂
苯甲酸钠可以作为金属加工、药品生产中的润滑剂。
食品及医药
(1)防腐剂
苯甲酸和苯甲酸钠有杀菌和抑制细菌生长的作用,且低毒无味,因而它们广泛地用作防腐剂。在微酸性介质中,仅0.1%浓度的苯甲酸可抑制细菌生长。改变pH值对苯甲酸盐的杀菌作用和抑菌作用影响很大,在碱性介质中其效果明显降低,pH值在2.5~4.5时效果最佳%20。
在食品工业中,苯甲酸,苯甲酸钠可作酱油,泡菜、苹果酒、果汁、饲料等的防腐剂。在药物、化妆品、牙膏、香粉、烟叶等中,苯中酸和苯甲酸钠也作防腐剂。苯甲酸钠在水中有较大的溶解度,通常用得更多一些,但它的pH值较高,杀菌和抑菌能力比苯甲酸弱得多%20。
(2)药物
苯甲酸、苯甲酸钠、苯甲酸苄酯等都可以用于制造各种药物,分别治疗关节炎、脓肿、支气管炎、皮肤病等,还可用作局部麻醉剂%20。苯甲酸可以制作苯甲酸水杨酸软膏,苯甲酸水杨酸软膏是以苯甲酸、水杨酸为主要原料,加入羊毛脂、黄凡士林制成的药剂。其中,苯甲酸与水杨酸联合,可以治疗成人皮肤真菌病,浅部真菌感染如体癣、手癣及足癣等疾病。
(3)定香剂
苯甲酸可以用作果汁饮料的定香剂。可作为膏香用入薰香香精。还可用于巧克力、柠檬、橘子、子浆果、坚果、蜜饯型等食用香精中。烟用香精中亦常用之。因苯甲酸的溶解度小,使用时须经充分搅拌,或溶于少量热水或乙醇。在清凉饮料用的浓缩果汁中使用时,因苯甲酸易随水蒸气挥发,故常用其钠盐。
环境危害
水产植物
藻类EC50:绿藻>10%20mg/L,14天;鱼LC50:西部蚊鱼,180%20mg/L,96小时。
持久性和可降解性
关于这种物质的可降解性无相关数据。
生物累积潜力
在正辛醇与水中的配分系数(log%20Kow):1.87;生物浓缩因子(BCF):5.3。
土壤中的流动性
无相关数据
其他不利影响
预计本物质不会产生其他不利环境影响(例如臭氧消耗、光化学臭氧生成潜力、内分泌干扰、全球变暖潜力)%20。
健康危害
侵入途径:吸入、皮肤接触、眼睛接触、食入。
吸入:刺激呼吸系统;皮肤接触:引起皮肤刺激;眼睛接触:导致严重的眼睛损伤;食如:吞食有害。
严重刺激眼睛。症状可能包括刺痛、撕裂、发红、肿胀和视力模糊。可能导致永久性眼睛损伤,包括失明。灰尘可能刺激呼吸道、皮肤和眼睛。皮肤刺激,可能导致发红和疼痛%20。
危害防治
泄漏应急处理
切断火源,勿使用带火花工具。避免在清洁过程中产生粉尘。避免接触皮肤或吸入溢出物、灰尘或蒸汽。驱散不相关人员。除非穿上适当的防护服,否则不要触摸损坏的容器或溢出的药品。进入封闭空间前,先通风。将清理的化学废物放置在标有清楚标签的容器中。用水清洗污染区域。按照相关规定收集和处理溢出物。这种药品及其容器必须作为危险废物处置。
防护措施
呼吸系统防护:佩戴防尘口罩。
眼睛/面部防护:佩戴有侧护罩的安全眼镜(或护目镜)。
防护服:建议使用不透水围裙。
手防护:戴耐化学手套。
其它:始终遵守良好的个人卫生措施,如进食、饮用、吸烟前先清洗,定期清洗工作服和防护设备,以清除污染物。
急救措施
皮肤接触:立即脱掉所有被污染的衣服。用肥皂和水彻底清洗皮肤几分钟。如果刺激持续发展,请就医。
眼睛接触:取下防护眼镜。翻开眼皮并及时用大量清水冲洗眼睛。如果刺激持续发展,请就医。
吸入:如果呼吸困难,转移到新鲜空气处,并保持呼吸舒适的姿势休息。对于呼吸困难者必要时需要吸氧。如果症状发展或持续,请就医。
食入:立即呼叫医生或毒物控制中心。如果吞食,用水漱口(仅当患者意识清醒时)。不要催吐。如果发生呕吐,头部应保持低位,以免胃部呕吐物进入肺部。
消防措施
合适的灭火介质:喷水、雾、二氧化碳、干粉或抗酒精泡沫。
不适用灭火介质:不要使用固体水流,因为它可能会分散和蔓延火焰。
爆炸危险:避免产生粉尘,粉尘在空气中以足够的浓度分散,并且在有火源的情况下,是潜在的粉尘爆炸危险。火灾可能产生刺激性、腐蚀性和/或有毒气体。
消防专用防护装备和预防措施:消防员必须使用标准防护装备,包括阻燃外套、带面罩的头盔、手套、橡胶靴,以及在封闭空间内使用SCBA。结构消防员防护服只能提供有限的保护。灭火时,应佩戴自给式呼吸器,并在正压需求模式下操作整个面罩%20。
安全标志
安全标志如下图%20:



安全标志" alt="



安全标志" src="https://bkimg.cdn.bcebos.com/pic/ca1349540923dd54564ec35fe943a4de9c82d158e2f8?x-bce-process=image/format,f_auto/resize,m_lfit,limit_1,h_336"/> 安全标志



苯甲酸的毒性较小,对兔的LD50是2 g/kg,对鼠的LD50是1.7 g/kg。每日口服0.5 g以下对人体并无毒害,甚至用量在4 g以下对健康也无摄害。在动物组织中存在的苯甲酸可与构成蛋白质成分的甘氨酸结合而解毒、形成马尿酸随尿排出 。
皮肤腐蚀/刺激
引起皮肤刺激。皮肤—兔子—轻微皮肤刺激—24小时—德莱赛测试。
严重眼睛损伤/眼睛刺激
造成严重的眼睛损伤。眼睛—兔子—眼睛严重受损的风险—德莱赛测试 。
来源
本品含C7H6O2不得少于99.0%。
性状
本品为白色有丝光的鳞片或针状结晶或结晶性粉末,质轻,无臭或微臭,在热空气中微有挥发性,水溶液显酸性反应。
本品在乙醇、三氯甲烷或乙醚中易溶,在沸水中溶解,在水中微溶。
熔点
本品的熔点(通则0612)为121~124.5℃。
鉴别
1、取本品约0.2g,加0.4%氢氧化钠溶液15mL,振摇,滤过,滤液中加三氯化铁试液2滴,即生成赭色沉淀。
2、本品的红外光吸收图谱应与对照的图谱(光谱集233图)一致。
检查
乙醇溶液的澄清度与颜色
取本品5.0g,加乙醇溶解并稀释至100mL,溶液应澄清无色。
卤化物和卤素
照紫外-可见分光光度法(通则0401)测定,本实验所用的玻璃仪器使用前必须用500g/L硝酸溶液浸泡过夜,用水清洗后装满水,以保证无氯元素。
溶液A:取本品6.7g置100mL量瓶中,加1mol/L氢氧化钠溶液40mL与乙醇50mL使溶解,用水稀释至刻度,摇匀。取上述溶液10mL,加2mol/L氢氧化钠溶液7.5mL与镍铝合金0.125g,置水浴上加热10分钟,放冷,滤过,滤液置25mL量瓶中,滤渣用乙醇洗涤3次,每次2mL,洗液并入滤液中,用水稀释至刻度。
溶液B:空白溶液。制备方法同溶液A。
标准氯化物溶液:精密量取0.132%(W/V)氯化钠溶液1mL,置100mL量瓶中,用水稀释至刻度。临用新制。
硫酸铁按溶液:取硫酸铁铵30g,加硝酸40mL振摇,用水稀释至100mL,滤过,取续滤液。避光保存。
硫氰酸汞溶液:取硫氰酸汞0.3g,加无水乙醇溶解使成100ml。配制后在7日内使用。
测定法:取溶液A、溶液B、标准氯化物溶液与水各10mL,分别置25mL量瓶中,各加硫酸铁按溶液5mL,摇匀,滴加硝酸2mL(边加边振摇),再各加硫氰酸汞溶液5mL,振摇,用水稀释至刻度,在20°C水浴中放置15分钟。在460nm的波长处分别测定溶液A(以溶液B为空白)与标准氯化物溶液(以水为空白)的吸光度。
限度:溶液A的吸光度不得大于标准氯化物溶液的吸光度(0.03%)。
易氧化物
取水100mL,加硫酸1.5mL,煮沸后,滴加高锰酸钾滴定液(0.02mol/L)适量,至显出的粉红色持续30秒钟不消失,趁热加本品1.0g,溶解后,加高锰酸钾滴定液(0.02mol/L)0.25mL,应显粉红色,并在15秒钟内不消失。
易碳化物
取本品0.50g,加硫酸5mL振摇,放置5分钟,与黄色2号标准比色液比较,不得更深。
炽灼残渣
不得过0.1%(通则0841)。
重金属
取本品1.0g,加乙醇22mL溶解后,加醋酸盐缓冲液(pH3.5)2mL与水适量,使成25mL,依法检查(通则0821第一法),含重金属不得过百万分之十。
含量测定
取本品约0.25g,精密称定,加中性稀乙醇(对酚酞指示液显中性)25mL溶解后,加酚酞指示液3滴,用氢氧化钠滴定液(0.1mol/L)滴定。每1mL氢氧化钠滴定液(0.1mol/L)相当于12.21mg的C7H6O2。
类别
消毒防腐药。
贮藏
密封保存。
《食品添加剂使用卫生标准》(GB2760-2014)规定标准 :
食品分类号 | 食品名称 | 最大使用量(g/kg) | 备注 |
|---|---|---|---|
03.03 | 风味冰、冰棍类 | 1.0 | 以苯甲酸计 |
04.01.02.05 | 果酱(罐头除外) | 1.0 | 罐头除外。以苯甲酸计 |
04.01.02.08 | 蜜饯凉果 | 0.5 | 以苯甲酸计 |
04.02.02.03 | 腌渍的蔬菜 | 1.0 | 以苯甲酸计 |
05.02.01 | 胶基糖果 | 1.5 | 以苯甲酸计 |
05.02.02 | 除胶基糖果以外的其他糖果 | 0.8 | 以苯甲酸计 |
11.05 | 调味糖浆 | 1.0 | 以苯甲酸计 |
12.03 | 醋 | 1.0 | 以苯甲酸计 |
12.04 | 酱油 | 1.0 | 以苯甲酸计 |
12.05 | 酱及酱制品 | 1.0 | 以苯甲酸计 |
12.10 | 复合调味料 | 0.6 | 以苯甲酸计 |
12.10.02 | 半固体复合调味料 | 1.0 | 以苯甲酸计 |
12.10.03 | 液体复合调味料(不包括12.03,12.04) | 1.0 | 以苯甲酸计 |
14.02.02 | 浓缩果蔬汁(浆)(仅限食品工业用) | 2.0 | 仅限食品工业用。以苯甲酸计,固体饮料按稀释倍数增加使用量 |
14.02.03 | 果蔬汁(浆)类饮料 | 1.0 | 以苯甲酸计,固体饮料按稀释倍数增加使用量 |
14.03 | 蛋白饮料 | 1.0 | 以苯甲酸计,固体饮料按稀释倍数增加使用量 |
14.04 | 碳酸饮料 | 0.2 | 以苯甲酸计,固体饮料按稀释倍数增加使用量 |
14.05 | 茶、咖啡、植物(类)饮料 | 1.0 | 以苯甲酸计,固体饮料按稀释倍数增加使用量 |
14.07 | 特殊用途饮料 | 0.2 | 以苯甲酸计,固体饮料按稀释倍数增加使用量 |
14.08 | 风味饮料 | 1.0 | 以苯甲酸计,固体饮料按稀释倍数增加使用量 |
15.02 | 配制酒 | 0.4 | 以苯甲酸计 |
15.03.03 | 果酒 | 0.8 | 以苯甲酸计 |
安全术语
S22:Do not breathe dust.
不要吸入粉尘。
S23:Do not breathe gas/fumes/vapour/spray.
不要吸入气体/烟雾/蒸汽/喷雾。
S24/25:Avoid contact with skin and eyes.
避免皮肤和眼睛接触。
S26:In case of contact with eyes, rinse immediately with plenty of water and seek medical advice.
眼睛接触后,立即用大量水冲洗并征求医生意见。
S36/37/39:Wear suitable protective clothing, gloves and eye/face protection.
穿戴适当的防护服、手套和眼睛/面保护。
S45:In case of accident or if you feel unwell, seek medical advice immediately (show the lable where possible).
发生事故时或感觉不适时,立即求医(可能时出示标签)。
S53:Avoid exposure - obtain special instructions before use.
避免接触,使用前获得特别指示说明。
风险术语
R22:Harmful if swallowed.
吞食是有害的。
R36/37/38:Irritating to eyes, respiratory system and skin.
刺激眼睛、呼吸系统和皮肤。
R42/43:May cause sensitization by inhalation and skin contact.
吸入和皮肤接触可能引起过敏。
1、本站所有文本、信息、视频文件等,仅代表本站观点或作者本人观点,请网友谨慎参考使用。
2、本站信息均为作者提供和网友推荐收集整理而来,仅供学习和研究使用。
3、对任何由于使用本站内容而引起的诉讼、纠纷,本站不承担任何责任。
4、如有侵犯你版权的,请来信(邮箱:baike52199@gmail.com)指出,核实后,本站将立即删除。

















