-
有向无环图 编辑
在数学,特别是图论和计算机科学中,有向无环图指的是一个无回路的有向图。如果有一个非有向无环图,且A点出发向B经C可回到A,形成一个环。将从C到A的边方向改为从A到C,则变成有向无环图。有向无环图的生成树个数等于入度非零的节点的入度积。
有向无环图
图1 有向树、DAG 图和有向图的示例
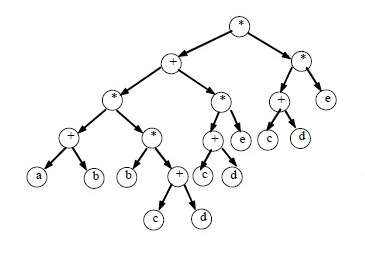
有向无环图是描述含有公共子式的表达式的有效工具。例如下述表达式:
((a+b)*b*(c+d)+(c+d)*e)*(c+d)*e
仔细观察该表达式,可发现有一些相同的子表达式,如(c+d)和(c+d)*e 等,在二叉树中,它们也重复出现。若利用有向无环图,则可实现对相同子式的共享,从而节省存储空间。例如图2 所示为表示同一表达式的有向无环图。
图2 用二叉树描述表达式
检查一个有向图是否存在环要比无向图复杂。对于无向图来说,若深度优先遍历过程中遇到回边(即指向已访问过的顶点的边),则必定存在环;而对于有向图来说,这条回边有可能是指向深度优先生成森林中另一棵生成树上顶点的弧。但是,如果从有向图上某个顶点v 出发的遍历,在dfs(v)结束之前出现一条从顶点u 到顶点v 的回边,由于u 在生成树上是v 的子孙,则有向图必定存在包含顶点v 和u 的环。
描述表达式的有向无环图
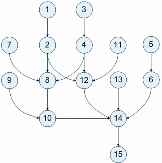
对整个工程和系统,人们关心的是两个方面的问题:一是工程能否顺利进行:二是估算整个工程完成所必须的最短时间。这样两个问题都是可以通过对有向图进行拓扑排序和关键路径操作来解决的。
1、本站所有文本、信息、视频文件等,仅代表本站观点或作者本人观点,请网友谨慎参考使用。
2、本站信息均为作者提供和网友推荐收集整理而来,仅供学习和研究使用。
3、对任何由于使用本站内容而引起的诉讼、纠纷,本站不承担任何责任。
4、如有侵犯你版权的,请来信(邮箱:baike52199@gmail.com)指出,核实后,本站将立即删除。

















