-
光气 编辑
光气,又称碳酰氯,化学式为COCl2,是一种重要的有机中间体,是非常活泼的亲电试剂,容易水解,是剧烈窒息性毒气,有剧毒,高浓度吸入可致肺水肿。
熔点:-118℃
沸点:8.2℃
闪点:-29.57℃
折射率:1.419
饱和蒸汽压:161.6kPa(20℃)
临界温度:182℃
临界压力:5.67MPa
外观:无色气体
溶解性:微溶于水,溶于芳烃、苯、四氯化碳、氯仿、乙酸等多数有机溶剂
摩尔体积(cm3/mol):64.9
等张比容(90.2K):153.8
表面张力(dyne/cm):31.5
极化率(10-24cm3):6.5
氢键供体数量:0
氢键受体数量:1
可旋转化学键数量:0
互变异构体数量:0
拓扑分子极性表面积:17.1
重原子数量:4
表面电荷:0
复杂度:29
同位素原子数量:0
确定原子立构中心数量:0
不确定原子立构中心数量:0
确定化学键立构中心数量:0
不确定化学键立构中心数量:0
共价键单元数量:1
反应方程式:SO3 +CCl4 → SO2Cl2 +COCl2↑
反应机理如右图:
工业上通常采用一氧化碳与氯气的反应得到光气。这是一个强烈放热的反应,装有活性炭的合成器应有水冷却夹套,控制反应温度200℃左右。为了获得高质量的光气和减少设备的腐蚀,经过彻底干燥的一氧化碳在与氯气混合时,应保持适当过量。将混合气从合成器上部通入,经过活性炭层后,很快转化为光气。当选用规格为Ф700×2900的合成器时,每台可年产光气200t。
原料消耗定额:氯气(>99%)925kg/t;氧气(标准状况下)268(m)kg/t;焦炭400kg/t。
氯仿,双氧水直接反应:
CHCl3+H2O2=HCl+H2O+COCl2(光气) --氯仿保管不当易被氧化产生光气。
也可用双氧水制出氧气后与氯仿反应:
2CHCl3+O2=2HCl+2COCl2(光气)
光气泄露后用水雾吸收,光气很容易水解:
COCl2+H2O=2HCl+CO2
也可用氯气和一氧化碳反应
Cl2+CO==光照==活性炭或Pt==COCl2(见光反应)
概述
本品是典型的暂时性毒剂。吸入中毒的半致命剂量LD50为3200mg/kg,半失能剂量1600mg·min/m3。吸入后,经几小时的潜伏期出现症状,表现为呼吸困难、胸部压痛、血压下降,严重时昏迷以至死亡。防毒面具可有效地防护,通常不需消毒。抗毒药有乌洛托品等。出现肺水肿症状者禁止人工呼吸。
健康危害
侵入途径:吸入、经皮吸收。
健康危害:主要损害呼吸道,导致化学性支气管炎、肺炎、肺水肿。
急性中毒:轻度中毒,患者有流泪、畏光、咽部不适、咳嗽、胸闷等;中度中毒,除上述症状加重外,患者出现轻度呼吸困难、轻度紫绀;重度中毒出现肺水肿或成人呼吸窘迫综合征,患者剧烈咳嗽、咯大量泡沫痰、呼吸窘迫、明显紫绀。肺水肿发生前有一段时间的症状缓解期(一般1-24小时)。可并发纵隔及皮下气肿。
毒理与环境
急性毒性:LC50 1400mg/m3,1/2小时(大鼠吸入);人吸入3200mg/m3,致死;人吸入25ppm×30分钟,最小致死浓度。
亚急性和慢性毒性:动物吸入0.0008mg/L,5小时 (5天),40%出现肺气肿。
污染来源:光气用作聚氨酯制品处理剂、增塑剂、聚碳酸酯原料,纤维处理剂、除草剂、炸药稳定剂、染料、染料中间体和药品原料,在生产中的跑、冒、滴、漏或意外泄漏。
危险特性:不燃。化学反应活性较高,遇水后有强烈腐蚀性。
燃烧(分解)产物:氯化氢。
环境标准:中华人民共和国国家职业卫生标准GBZ2.1-2007工作场所有害因素职业接触限值化学有害因素车间空气中有害物质的最高容许浓度MAC:0.5mg/m3。
中毒机理
光气吸入中毒后的主要病变是中毒性肺水肿。肺水肿是肺毛细血管渗透性增强的结果。对于肺水肿产生的原因,学说颇多,诸如酰化作用、直接作用、盐酸作用、神经反射作用、肺血流动力学改变等等,各有实验依据。但任何一种假说都不能完满地解释肺水肿发生与发展过程
一般认为肺毛细血管壁通透性增强与光气的酰化作用(acylation)有密切关系。光气为酰卤类化合物,活性基团是羰基(O=C),化学性质非常活泼,它与肺组织蛋白中的氨基、巯基、羟基等重要功能基团发生酰化反应,引起肺酶系统的广泛抑制,从而影响细胞正常代谢及其功能,使肺气-血屏障受损,导致肺毛细血管通透性增高,引起肺水肿。此外,光气中毒时,肺泡表面活性物质受损也是重要因素之一。正常时,在肺泡表面覆盖一层由肺泡Ⅱ型上皮细胞分泌出来的表面活性物质,该物质有降低肺泡内液体表面张力的作用,使肺泡在呼气时不致萎陷,并保持肺泡内的干燥。二棕榈酰磷脂酰胆碱(dipalmitoyl phosphatidyl choline,DPPC)是肺表面活性物质的主要成分之一。在其生物合成中需要脂酰辅酶A酯酰转移酶的参与。光气中毒后,该酶活性下降,因而DPPC在肺泡壁的含量减少,使肺泡表面活性物质功能下降,从而肺泡内液体表面张力增大而致肺泡萎陷,肺泡压明显降低,与其相抗衡的肺毛细血管流体静力压就增高,液体由血管内大量外渗,导致肺水肿的产生。
病理变化
光气、双光气中毒的病理生理改变主要由肺水肿所引起。
吸入中毒时,先出现短暂的呼吸变慢,继之呼吸浅而快。在出现早期肺水肿后,由于肺泡呼吸表面积减少,肺泡壁增厚,影响了肺泡内气体交换。加上水肿液充塞呼吸道,支气管痉挛及其粘膜肿胀所引起的支气管狭窄,造成肺通气障碍,结果出现呼吸性血缺氧,导致血氧含量降低,CO2含量增多,皮肤粘膜呈青紫色。此时呼吸循环功能有代偿性变化,如呼吸加快、肋间肌活动增强、心跳快而有力、血压微升等。
肺水肿晚期,由于①肺泡内含有大量液体,肺内压力增加,使右心负荷增加;②血浆大量渗入肺内使血循环内血容量减少、血液浓缩、粘稠度增加。外周阻力增加,使左心负荷加重;③长时期严重的血缺氧使肌营养不良,因此可出现心收缩力减弱、心律失常、循环减慢、血压逐渐降低等心功能衰竭表现。后者又可加重组织缺氧,体内氧化不全产物增加,发生酸中毒和电解质紊乱。血内CO2含量逐渐降低,内脏毛细血管扩张,外周毛细血管收缩,皮肤粘膜转为苍白,血压急剧下降,出现急性循环衰竭,进入休克状态。此期因肺水肿合并循环衰竭,机体失去代偿能力。
随着肺水肿的发展,血浆从肺毛细血管大量外渗,造成血浆容量降低,血液浓缩,出现血浆蛋白减少,红、白细胞数及血红蛋白增加,血球比积增高。这些变化与肺水肿程度相一致。由于血液粘稠、血流缓慢,加上组织的破坏,使血液凝固性增加。由此,可形成血栓和栓塞。
中枢神经系统对缺氧很敏感。缺氧初期大脑皮质兴奋,出现烦躁不安、头痛、头晕等;缺氧严重时,逐渐转入抑制,表情淡漠,乏力等。缺氧进一步发展,大脑皮层抑制加深,并向皮层下扩散,呼吸、循环中枢可由兴奋转为抑制,呼吸、心跳减弱,以至出现中枢麻痹,导致呼吸、心跳停止而死亡。
病理解剖可见皮肤苍白、胸廓扩大、肋间隙消失、口鼻有粉红色泡沫状分泌物排出,挤压胸腔时流出更多。肺部因肺水肿、肺气肿、肺充血、肺不张及轻度出血等各种病变弥漫相间而呈现“大理石样”。
临床表现
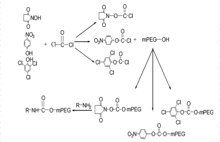
光气参与活化法
光气可以用于制备活化聚乙二醇,用于修饰蛋白药物,增加蛋白药物的稳定性。
毒理数据
编号 | 毒性类型 | 测试方法 | 测试对象 | 使用剂量 | 毒性作用 |
|---|---|---|---|---|---|
1 | 急性毒性 | 吸入 | 人类 | 50 ppm/5M | 详细作用没有报告除致死剂量以外的其他值 |
2 | 急性毒性 | 吸入 | 成年男性 | 360 mg/m3/30M | 详细作用没有报告除致死剂量以外的其他值 |
3 | 急性毒性 | 吸入 | 人类 | 25 ppm/30M | 肺部、胸部或者呼吸毒性——其他变化 |
4 | 急性毒性 | 吸入 | 猫 | 190 mg/m3/15M | 详细作用没有报告除致死剂量以外的其他值 |
5 | 急性毒性 | 吸入 | 哺乳动物 | 50 ppm/5M | 详细作用没有报告除致死剂量以外的其他值 |
6 | 急性毒性 | 吸入 | 哺乳动物 | 11 mg/m3/30M | 详细作用没有报告除致死剂量以外的其他值 |
7 | 慢性毒性 | 吸入 | 大鼠 | 200 ppb/6H/4W-I | 1、肺部、胸部或者呼吸毒性 ——气管、支气管的结构、功能发生变化 2、肺部、胸部或者呼吸毒性——肺重量发生变化 |
8 | 慢性毒性 | 吸入 | 大鼠 | 250 ppb/4H/17D-I | 1、肺部、胸部或者呼吸毒性——其他变化 2、肺部、胸部或者呼吸毒性——肺重量发生变化 3、生化毒性——抑制或脱氢酶诱导 |
9 | 慢性毒性 | 吸入 | 大鼠 | 500 ppb/6H/12W-I | 1、肺部、胸部或者呼吸毒性—— 气管、支气管的结构、功能发生变化 2、肺部、胸部或者呼吸毒性——肺重量发生变化 3、营养和代谢系统毒性——体重下降或体重增加速率下降 |
应急处理
迅速撤离泄漏污染区人员至上风处,并立即进行隔离,小泄漏时隔离150米,大泄漏时隔离450米,严格限制出入。建议应急处理人员戴自给正压式呼吸器,穿防毒服。从上风处进入现场。尽可能切断泄漏源。合理通风,加速扩散。喷氨水或其它稀碱液中和。构筑围堤或挖坑收容产生的大量废水。漏气容器要妥善处理,修复、检验后再用。
光气很容易水解,即使在冷水中,光气的水解速度也很快。水源、含水食物以及易吸水的物质均不会染毒。光气与氨很快反应,主要生成尿素和氯化铵等无毒物质,因此,浓氨水可对光气消毒。光气与有机胺作用,生成二苯脲白色沉淀和苯胺盐酸盐。可用此反应来检验光气。光气在碱溶液中很快被分解,生成无毒物质。各种碱、碱性物质均可对光气进行消毒。
防护措施
呼吸系统防护:正常作业时,应该佩戴过滤式防毒面具(全面罩)。紧急事态抢救或撤离时,建议佩戴空气呼吸器。眼睛防护:呼吸系统防护中已作防护。
身体防护:穿胶布防毒衣。
手防护:戴橡胶手套。
其他:工作现场禁止吸烟、进食和饮水。实行就业前和定期的体检。
急救措施
皮肤接触:脱去被污染的衣着,用流动清水冲洗。
眼睛接触:提起眼睑,用流动清水或生理盐水冲洗。就医。
吸入:迅速脱离现场至空气新鲜处。保持呼吸道通畅。如呼吸困难,给输氧。如呼吸停止,立即进行人工呼吸。就医。
灭火方法:本品不燃。消防人员必须佩戴过滤式防毒面具(全面罩)或隔离式呼吸器、穿全身防火防毒服,在上风处灭火。切断气源。喷水冷却容器,可能的话将容器从火场移至空旷处。万一有光气漏逸,微量时可用水蒸气冲散,较大时,可用液氨喷雾冲洗。
灭火剂:雾状水、干粉、二氧化碳。
刺激期
吸入光气立即出现刺激症状,主要表现有:眼和呼吸道刺激症状出现早,有眼痛、流泪、咳嗽、胸闷气憋、呼吸率改变、嗅觉异常或久存光气味,咽喉部及胸骨后疼痛等;植物神经和中枢神经系统症状有头痛、头晕、乏力、不安或少言、淡漠、恶心、呕吐、上腹疼痛等。在光气吸入剂量相等的情况下,高浓度短时间中毒,刺激症状重;低浓度长时间中毒刺激症状较轻。但吸入剂量较大时,呼吸道的刺激症状明显,持续时间也较长。
潜伏期
刺激症状消失或减轻,自觉症状好转,但病理过程仍在发展,肺水肿在逐渐形成中。潜伏期一般为2~13小时。重度中毒2~4小时,甚至1小时;中度中毒为8~12小时,有时长至24小时。
肺水肿期
从潜伏期到肺水肿期可突然发生或缓慢发生,此期一般为1~3天。
肺水肿(首先出现间质性肺水肿)的早期症状有:全身疲倦、头痛、胸闷、呼吸浅快、脉搏增加、咳嗽、烦躁不安等。听诊呼吸音减弱,肺底部有细湿性啰音或捻发音。胸部影象学检查有肺水肿征象。继之,全身状况恶化、很快出现肺泡性肺水肿。典型的症状和体征为气喘、呼吸困难、频繁咳嗽、咯出大量粉红色泡沫痰液、脉快、恶心、呕吐及上腹部疼痛等。叩诊胸部可听到鼓音及浊音。肺下界降低,心浊音界消失;听诊时全肺满布干性及湿性啰音。血液检查表现为血液浓缩征象,动脉血氧分压、血氧饱和度降低。肺泡性肺水肿进展很快,一般在24小时内达到高峰。肺水肿期以循环系统功能是否良好又可分为两个阶段。
1.紫绀型缺氧阶段:此阶段血氧含量下降,皮肤粘膜紫绀、但循环功能尚能代偿。血压正常或稍高,脉搏快而有力。神志清楚,体温升高可达38~39℃。由于肺水肿使CO2排出障碍,血中碳酸增高,导致呼吸性酸中毒;也可因过度换气使CO2排出过多,造成呼吸性碱中毒。
2.苍白(或休克)型缺氧阶段:病情继续恶化,呼吸极度困难。严重时全部呼吸辅助肌均参加运动,逐渐出现循环衰竭:脉细数不规则、血压下降、皮肤粘膜苍白、出冷汗、逐渐陷入昏迷。此时,血氧含量更低,氧化不全产物增加,导致代谢性酸中毒。
光气中毒后的症状和体征24~48小时达到高峰,如不及时救治,可在1~3天内死亡,重度中毒可能在5天内死亡。因此,凡吸入光气者至少需严密观察3~4天。
恢复期
中毒较轻或经治疗后肺水肿液可于发病后2~4天内吸收,全身情况好转。咳嗽、气短减轻、痰量减少、体温下降,肺部啰音减少或消失。X线检查,肺功能及血气分析结果逐渐恢复正常。一般在中毒后5~7天基本痊愈,2~3周可恢复健康。但数周内仍有头晕、咽干、食欲不振、呼吸循环功能不稳定等。
如有继发感染,一般在中毒后第3~4天病情恶化。体温继续升高,肺水肿吸收迟缓,可在中毒后8~15天因支气管肺炎而死亡。此外,还可能发生其它并发症,如胸膜炎、支气管炎,偶见肺栓塞、肺坏疽、肺脓肿以及下肢、脑、心、视网膜等处栓塞。
自从伊普尔毒气战后,战争双方的决策者、指挥者开始热衷化学战。战争促进了化学武器的发展,一战中出现了多种毒剂,除了氯气外,又出现了光气,是残害生灵的战场毒魔。
光气是一氧化碳与氯气在日光下合成,为无色气体,它能伤害人体呼吸器官,严重时导致人体死亡。1915年12月19日,德军发射装填光气的火箭弹。英军阵地上有1000多人中毒,100多人死亡。
在一战中,光气这种毒剂得到广泛应用,交战双方都使用了光气这种毒剂,使用量达到10万吨之多。
二战时,日军鉴于芥子气毒性过大,自己也无法防护。于是瞄准了光气,因为光气只能通过呼吸道中毒,而我军又无防护,所以大量使用光气,并将其称为“特种烟”(为日军对窒息性毒气的隐敝称呼)。
1、本站所有文本、信息、视频文件等,仅代表本站观点或作者本人观点,请网友谨慎参考使用。
2、本站信息均为作者提供和网友推荐收集整理而来,仅供学习和研究使用。
3、对任何由于使用本站内容而引起的诉讼、纠纷,本站不承担任何责任。
4、如有侵犯你版权的,请来信(邮箱:baike52199@gmail.com)指出,核实后,本站将立即删除。

















