-
醋酸纤维素 编辑
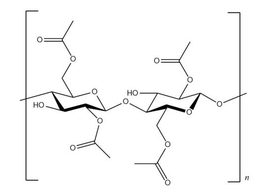
醋酸纤维素,是指以醋酸作为溶剂,醋酐作为乙酰化剂,在催化剂作用下进行酯化而得到的一种热塑性树脂,是纤维素衍生物中最早进行商品化生产并且不断发展的纤维素有机酸酯。醋酸纤维素作为多孔膜材料,具有选择性高、透水量大、加工简单等特点。
市售产品可分为一般的醋酸纤维素(乙酰基含量37%~40%)。常加入增塑剂用作注塑制件,如牙刷把、刷子等。高乙酰含量的醋酸纤维素(乙酰基含量40%~42%),白色粒状、粉状或棉状固体。对光稳定,不易燃烧,在稀酸、汽油、矿物油和植物油中稳定,在三氯甲烷中溶胀,溶于丙酮、醋酸甲酯等,能为稀碱液侵蚀,具有坚韧、透明、光泽好等优点,熔融流动性好,易成型加工。
1.、手感:软、滑、干、舒爽、有弹性;
2.、舒适性:透气性好、芯料、干燥快、无静电吸附;
3、无毒、无害长期和皮肤接触不过敏。
4.、纤维状、可塑性;
5、 选择性吸附和移除某些低含量的有机物;
6、容易用增塑剂、加热、或加压使之粘合在一起;
7、溶于很多种常见溶剂(特别是丙酮和其他有机溶剂),改性后可以溶于其它类别的溶剂;
8、亲水性:CA易湿,有很好的液体透过和优良的吸附性;在织物中,舒适、吸汗,但是当CA湿透时,强度下降;
9、比表面积大;
10、可以由新的原材料制备:木浆;
11.、可以用作混合肥或者焚烧掉;
12.、可以上色,不过由于CA不适用用于棉和人造丝,因此需要专门的染料和颜料;
13、 抗霉;
14.、在碱性溶液和强氧化剂内易变质;
15.、可以干洗或水洗,而且通常不收缩。
1、本站所有文本、信息、视频文件等,仅代表本站观点或作者本人观点,请网友谨慎参考使用。
2、本站信息均为作者提供和网友推荐收集整理而来,仅供学习和研究使用。
3、对任何由于使用本站内容而引起的诉讼、纠纷,本站不承担任何责任。
4、如有侵犯你版权的,请来信(邮箱:baike52199@gmail.com)指出,核实后,本站将立即删除。

















