-
异构化 编辑
异构化,是指改变化合物的结构而分子量不变的过程。一般指有机化合物分子中原子或基团的位置的改变而其组成和分子量不发生变化。常在催化剂的存在下进行。化合物分子进行结构重排而其组成和分子量不发生变化的反应过程。烃类分子的结构重排主要有烷基的转移、双键的移动和碳链的移动。反应通常在催化剂作用下进行。40年代以前,异构化过程主要用于生产高辛烷值汽油调合组分。40年代以后,由于对航空汽油的大量需求,由异丁烷烷基化生产高辛烷值汽油调合组分的过程迅速发展,同时广泛开展了用三氯化铝作催化剂(见固体酸催化剂)的正丁烷异构化研究,并实现了工业化,扩大了烷基化的原料来源。1960年,美国大西洋炼油公司将异构化过程应用于芳烃的转换,开发了以氧化铝或氧化铝-氧化硅为载体的铂催化剂的二甲苯异构化工艺过程,随后日本三菱瓦斯化学公司又开发了用氟化氢-氟化硼作催化剂的液相二甲苯异构化过程。1976年和1978年美国莫比尔化学公司先后开发了使用新型ZSM-5分子筛催化剂的二甲苯气相和液相异构化过程。
60年代中期以来,由于聚酯纤维生产的飞速发展,生产聚酯的重要原料——对二甲苯的产量也迅速增加.近十年来,我国也有极快的发展。邻二甲苯几乎全部用于生产苯酐进而超取增塑剂和不饱和聚酯。由于工业生产的二甲苯混合物产品中各界构体相对比侧与实际格要存在较大的差距,例如用途很少的间二甲苯含量是对二甲苯的一倍以上,因此国内外均建立二甲苯异构化装置,将间二甲苯等转化为对二甲苯并与产品分离相结合,以最大限度地生产对二甲苯。采用相似的异构化工艺也可生产均三甲苯和均四甲苯。
丁烯异构化也得到了广泛的工业应用,它能进一步改良使烷基化过程产生的高辛烷值产品。丁烯各异构体间也可相互异构从而制取所希望的丁烯异构单体 。
(1)烷烃的异构化,如C4、C5、C6烷烃的异构化:
烷烃异构化
(2)烯烃的异构化,如1-丁烯的异构化:
烯烃异构化
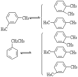
(3)芳烃的异构化,如二甲苯、乙苯的异构化:
芳烃异构化
(4)环烷烃的异构化,如甲基环戊烷的异构化:
环烷烃异构化
(5)甲酚的异构化:
甲酚异构化
催化剂
(2)以固体酸为载体的贵金属催化剂,如铂-氧化铝、铂-分子筛、钯-氧化铝等。这类催化剂属于双功能催化剂,其中金属组分起加氢和脱氢作用,固体酸起异构化作用。采用这类催化剂时,反应需在氢存在下进行,故也称临氢异构化催化剂,用于气相异构化。烷烃、烯烃、芳烃、环烷烃的异构化也可采用。尤其是乙苯异构化为二甲苯和环烷烃的异构化只有这类催化剂有效。其优点是结焦少,使用寿命长。
(3)以固体酸为载体的非贵金属催化剂,如镍-分子筛等,一般也需有氢存在,用于气相异构化,但不能使乙苯异构化成二甲苯。
(4)ZSM-5分子筛催化剂,主要用于二甲苯的气相或液相异构化。
液相异构化反应温度一般为 90~150°C;气相异构化反应温度则为300~500°C;气相非临氢异构化可在低压(约0.3MPa)下进行,气相临氢异构化则需较高压力(2.0~2.5Mpa)下进行。氢烃摩尔比为5~20:1,过量氢气可循环使用。气相异构化可采用固定床反应器,液相均相异构化可用塔式反应器,非均相异构化则可用涓流床反应器。
石油炼制
C5、C6烷烃的异构化生成的支链化合物,如异戊烷、异己烷等,可直接作为高辛烷值汽油的掺合剂,异构化过程也可应用于增产所需的目的产物。如C8芳烃的异构混合物在分离出对二甲苯以后,可以通过异构化反应得到具有平衡组成的C8芳烃异构混合物,然后再将对二甲苯分离出。这样就可最大限度地得到所需的目的产物对二甲苯。又如甲苯丙烯基化生成的甲基异丙苯、氧化后得到的主要是邻甲基苯酚,可通过异构化而转化成用途较大(生产合成树脂)的间甲酚。此外,在碳四馏分分离时也可采用异构化的方法。
1、本站所有文本、信息、视频文件等,仅代表本站观点或作者本人观点,请网友谨慎参考使用。
2、本站信息均为作者提供和网友推荐收集整理而来,仅供学习和研究使用。
3、对任何由于使用本站内容而引起的诉讼、纠纷,本站不承担任何责任。
4、如有侵犯你版权的,请来信(邮箱:baike52199@gmail.com)指出,核实后,本站将立即删除。

















