-
磁导率 编辑
磁导率,英文名称:magnetic permeability,表征磁介质磁性的物理量。表示在空间或在磁芯空间中的线圈流过电流后,产生磁通的阻力或是其在磁场中导通磁力线的能力。其公式μ=B/H 、其中H=磁场强度、B=磁感应强度,常用符号μ表示,μ为介质的磁导率,或称绝对磁导率。
中文名:磁导率
外文名:magnetic permeability
定义式:μ=B / H
意义:表征磁介质磁性的物理量
符号:μ
拼音:cí dǎo lǜ
磁导率μ等于磁介质中磁感应强度B与磁场强度H之比,即μ=B / H。
通常使用的是磁介质的相对磁导率
相对磁导率
磁导率μ,相对磁导率
对于顺磁质
例如,如果空气(非磁性材料)的相对磁导率是1,则铁氧体的相对磁导率为10,000,即当比较时,以通过磁性材料的磁通密度是10,000倍。铸铁为200~400;硅钢片为7000~10000;镍锌铁氧体为10~1000。
涉及磁导率的公式:
磁场的能量密度ωm=B2/2μ
在国际单位制(SI)中,相对磁导率μr是无量纲的纯数,磁导率μ的单位是亨利/米(H/m)。
常用的真空磁导率μ0=4π×10-7H/m。
公式
(2)最大磁导率μm:在基本磁化曲线初始段以后,随着H的增大,斜率μ=B/H逐渐减小,到某一磁场强度下(Hm),磁密度达到最大值(Bm)
公式
(3)饱和磁导率μS:基本磁化曲线饱和段的磁导率,μS值一般很小,深度饱和时,μS=μ0。
(4)差分(增量)磁导率μΔ∶μΔ=△B/△H。ΔB及△H是在(B1,H1)点所取的增量如图1和图2所示。
(5)微分磁导率,μd∶μd=dB /dH,在(B1,H1)点取微分,可得μd。
可知:μ1=B1/H1,μ△=△B /△H,μd=dB1/dH1,三者虽是在同一点上的磁导率,但在数值上是不相等的。
非磁性材料(如铝、木材、玻璃、自由空间)B与H之比为一个常数,用μ来表示非磁性材料的的磁导率,即μ=1(在CGS单位制中)或 μ=4π×10-7(在RMKS单位制中)。
在众多的材料中,如果自由空间(真空)的μ0=1,那△么比1略大的材料称为顺磁性材料(如白金、空气等);比1略小的材料,称为反磁性 材料(如银、铜、水等)。本章介绍的磁性元件μ1是大有用处的。只有在需要磁屏蔽时,才会用铜等反磁性材料做成屏蔽罩使磁元件的磁 不会辐射到空间中去。
下面给出几个常用的参数式:
公式
式中 L——绕组的自感量(mH);
W——绕组匝数;
磁心常数,是磁路长度Lm与磁心截面积Ae的比值(mm).
(2)饱和磁感应强度Bs。随着磁心中磁场强度H的增加,磁感应强度出现饱和时的B值,称为饱和磁感应强度B。
(3)剩余磁感应强度Br。磁心从磁饱和状态去除磁场后,剩余的磁感应强度(或称残留磁通密度)。
(4)矫顽力Hc0。磁心从饱和状态去除磁场后,继续反向磁化,直至磁感应强度减小到零,此时的磁场强度称为矫顽力(或保磁力)。
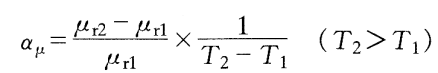
公式
式中 μr1——温度为T1时的磁导率;
μr2——温度为T2时的磁导率。
值得注意的是:除了磁导率μ与温度有关系之外,饱和磁感应强度BS、剩余磁感应强度Br、矫顽力Hc,以及磁心比损耗Pcv(单位重量损耗W/kg)等磁参数,也都与磁心的工作温度有关。
磁导率的测量是间接测量,测出磁心上绕组线圈的电感量,再用公式计算出磁芯材料的磁导率。所以,磁导率的测试仪器就是电感测试仪。在此强调指出,有些简易的电感测试仪器,测试频率不能调,而且测试电压也不能调。例如某些电桥,测试频率为100Hz或1kHz,测试电压为0.3V,给出的这个0.3V并不是电感线圈两端的电压,而是信号发生器产生的电压。至于被测线圈两端的电压是个未知数。如果用高档的仪器测量电感,例如 Agilent 4284A 精密LCR测试仪,不但测试频率可调,而且被测电感线圈两端的电压及磁化电流都是可调的。了解测试仪器的这些功能,对磁导率的正确测量是大有帮助的。
说起磁导率μ的测量,似乎非常简单,在材料样环上随便绕几匝线圈,测其电感,找个公式一算就完了。其实不然,对同一只样环,用不同仪器,绕不同匝数,加不同电压或者用不同频率都可能测出差别甚远的磁导率来。造成测试结果差别极大的原因,并非每个测试人员都有精力搞得清楚。本文主要讨论测试匝数及计算公式不同对磁导率测量的影响。
计算公式的影响
大家知道,测量磁导率μ的方法一般是在样环上绕N匝线圈测其电感L,对于内径较小的环型磁心,内径不如壁厚容易测量,它们的由来是把环的平均磁路长度当成了磁心的磁路长度。用它们计算出来的磁导率称为材料的环磁导率。有人说用环型样品测量出来的磁导率就叫环磁导率,这种说法是不正确的。实际上,环磁导率比材料的真实磁导率要偏高一些,且样环的壁越厚,误差越大。
对于样环来说,在相同安匝数磁动势激励下,磁化场在径向方向上是不均匀的。越靠近环壁的外侧面,磁场就越弱。在样环各处磁导率μ不变的条件下,越靠近环壁的外侧,环的磁通密度B就越低。为了消除这种不均匀磁化对测量的影响,我们把样环看成是由无穷多个半径为r,壁厚无限薄为dr的薄壁环组成。
如果样环是由同一种材料组成,则计算出来的磁导率就是其材料的真正磁导率μ。它比其环磁导率略低一些。
测试线圈匝数N的影响
由于电感L与匝数N2成正比,按理说计算出来的磁导率μ不应该再与匝数N有关系,但实际上却经常有关系。
关于材料磁导率的测量,一般使用的测试频率都不高,经常在1kHz或10kHz的频率测试。测试信号一般都是使用正弦信号,因为频率不高,样环绕组线圈阻抗的电阻部分可忽略不计,把绕组线圈看作一个纯电感L接在测量仪器上。测试等效电路如图所示,仪器信号源产生的电压有效值为U,Ri为信号源的输出阻抗。
测量磁导率时,样环中的磁化场强度与测试线圈的匝数有关,当匝数为某一定值时磁场强度就会达到最强值。而材料的磁导率又与磁化场强密切相关,所以导致磁导率的测量与测试线圈匝数有关。结合图具体讨论匝数对磁导率测试的影响。
测试线圈匝数N的影响
测试电压U较低的情况
如前所述,对于高档仪器,如Agilent 4284A精密LCR 测试仪,它的测试电压可以调得极低,以至于测试磁场强度随匝数的变化达到最强时,仍然没有超出磁导率的起始区。这时测得的总是材料的起始磁导率μi,它与测试线圈匝数N无关。用同一台仪器,如果把测试电压调得比较高,不能再保证不同匝数测得的磁导率都是起始磁导率,这时所测得的磁导率又会与测试线圈匝数有关了。
测试电压U不能调的情况
绝大多数测量电感的简便仪器,其测试电压和频率都不能灵活调节。如 2810 LCR电桥,其测试频率为100Hz或1kHz,测试电压小于0.3V。
1、本站所有文本、信息、视频文件等,仅代表本站观点或作者本人观点,请网友谨慎参考使用。
2、本站信息均为作者提供和网友推荐收集整理而来,仅供学习和研究使用。
3、对任何由于使用本站内容而引起的诉讼、纠纷,本站不承担任何责任。
4、如有侵犯你版权的,请来信(邮箱:baike52199@gmail.com)指出,核实后,本站将立即删除。

















