-
色散 编辑
色散是复色光分解为单色光而形成光谱的现象。色散可以利用棱镜或光栅等作用为色散系统的仪器来实现。如复色光进入棱镜后,由于它对各种频率的光具有不同折射率,各种色光的传播方向有不同程度的偏折,因而在离开棱镜时就各自分散,形成光谱。例如太阳光通过三棱镜后,产生自红到紫循序排列的彩色连续光谱。复色光通过光栅或干涉仪时,由于光的衍射和干涉作用,也能使各种色光分散。从广泛的意义上来说,色散不仅指光波分解成频谱,而且任何物理量只要随频率(或波长)变化而变化,都称色散,例如旋光色散等。
中文名:色散
外文名:dispersion
学科:光学
类别:正常色散和反常色散
定义:光波分解成频谱
组成:材料色散、波导色散、 折射率分布色散
图1光学材料的色散曲线
色散棱镜
色散图示
色散能够给人们带来美丽的彩虹,但是如果色散发生在光通信系统中,就没有那么美好了。尽管色散的概念是从光的色散现象提出来的,但色散的含意远超出了光在介质中传播的范畴,它涉及了介质中集体激发的各个领域。例如格波的频率与其波矢的关系称格波的色散关系。光波与长光学横波耦合而产生的极化激元(电磁耦合场量子)的频率与其波矢之间的关系称极化激元的色散关系。磁激子(自旋波量子)的能量子与其自旋波波矢的关系构成了磁激子的色散关系。另外色散概念也用于量子场论中。也可用于描述传播参数与频率之间的关系。在光纤中的色散由材料色散、波导色散、 折射率分布色散等组成,会引起传输信号的失真。
在“损耗”术语中,我们了解到,色散是光纤传输中的损耗之一。随着光纤制造工艺的不断提高,光纤损耗对光通信系统的传输距离不再起主要限制作用,色散上升为首要限制因素之一。当光纤的输入端光脉冲信号经过长距离传输以后,在光纤输出端,光脉冲波形发生了时域上的展宽,这种现象即为色散。以单模光纤中的色散现象为例,色散将导致码间干扰,在接收端将影响光脉冲信号的正确判决,误码率性能恶化,严重影响信息传送。
单模光纤中的色散主要由光信号中不同频率成分的传输速度不同引起,这种色散称为色度色散。在色度色散可以忽略的区域,偏振模色散也成为单模光纤色散的主要部分。
色度色散
1、色度色散简介:色度色散包括材料色散和波导色散 。材料色散:由于光纤材料石英玻璃对不同光频的折射率不同,而光源具有一定的光谱宽度,不同的光频引起的群速率也不同,从而造成了光脉冲的展宽。波导色散:对于光纤的某一传输模式,在不同的光频下的群速度不同引起的脉冲展宽。它与光纤结构的波导效应有关,因此也被称为结构色散。
这两种色散中,哪一种占主导地位?材料色散大于波导色散。根据色散的计算公式,在某一特定频率位置上,材料色散有可能为零,这一频率称之为材料的零色散频率。幸运的是,该频率恰好位于附近的低损耗窗口,如G.652就是零色散光纤。
尽管光器件受色散的影响很大,但存在一个可以容忍的最大色散值(即色散容纳值)。只要产生的色散在容限之内,仍可保证正常的传输。
2、色度色散的影响:色度色散主要会造成脉冲展宽和啁啾效应。脉冲展宽是光纤色散对系统性能的影响的最主要的表现。当传输距离超过光纤的色散长度时,脉冲展宽过大,这时,系统将产生严重的码间干扰和误码。色散不仅使脉冲展宽,还使脉冲产生了相位调制。这种相位调制使脉冲的不同部位对中心频率产生了不同的偏离量,具有不同的频率,即脉冲的啁啾效应(Chirp)。
啁啾效应将使光纤划分为正常色散光纤和反常色散光纤。正常色散光纤中,脉冲的高频成分位于脉冲后沿,低频成分位于脉冲前沿;反常色散光纤中,脉冲的低频成分位于脉冲后沿,高频成分位于脉冲前沿。在传输线路中,合理使用两种光纤,可以抵消啁啾效应,消除脉冲的色散展宽。
3、如何消除色度色散对DWDM系统的影响:
对于DWDM系统,由于系统主要应用于1550nm窗口,如果使用G.652光纤,需要利用具有负频率色散的色散补偿光纤(DCF),对色散进行补偿,降低整个传输线路的总色散。
偏振模色散
偏振模色散(PMD)是存在于光纤和光器件领域的一种物理现象。
单模光纤中的基模存在两个相互正交的偏振模式,理想状态下,两种偏振模式应当具有相同的特性曲线和传输性质,但是由于几何和压力的不对称导致了两种偏振模式具有不同的传输速度,产生时延,形成PMD,如图2所示。PMD的单位通常为ps/km。
图2
在数字传输系统,PMD将导致脉冲分离和脉冲展宽,对传输信号造成降级,并限制载波的传输速率。
PMD与其他色散相比,几乎可以忽略,但是无法完全消除,只能从光器件上使之最小化。脉冲宽度越窄的超高速系统中,PMD的影响越大。
波导色散
波导色散
三棱镜
钻石的色散
正反色散
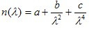
1936年柯西研究了材料在可见光区的折射率,将色散曲线表示为
柯西公式
图3
光纤的色散,其可以被形容为一种脉冲拓宽现象,具体指的是不同模式分量、不同频率下的光信号,或是光脉冲,在光线中出现,保持不同的传输速度并传输一定距离后,出现信号失真现象。通常情况下,我们将光纤的色散划分为三种,第一种是模式色散,第二种是材料色散,第三种是波导色散。就模式色散来说,是在不同的模式传输时,如果光具有相同的频率,切分量但是不同,并引起的群速不同,最终造成的色散;就材料色散来说,这主要是因为材料自身的因素影响,导致光的折射率出现差异,引起的群速不同,最终造成的色散;最后的波导色散,主要是在单模式光传输下,其宽度频带不变,切分量存在差异而最终造成的色散。波导色散、材料色散,也被一并的成为色度色散,模式色散主要在多模光纤当中出现。色散,对于光纤的信息传输具有很大的影响,其与光纤带宽距离积之间,呈反比的关系,如果色散越大的话,带宽距离积自然就会变得越小,为此我们就需要应用到补偿原理,来对光纤信息传输进行优化,确保其传输质量。
在光学发展的早期,对颜色的解释显得特别困难.在牛顿以前,欧洲人对颜色的认识流行着亚里士多德的观点.亚里士多德认为,颜色不是物体客观的性质,而是人们主观的感觉,一切颜色的形成都是光明与黑暗、白与黑按比例混合的结果.1663年波义耳也曾研究了物体的颜色问题,他认为物体的颜色并不是属于物体的带实质性的性质,而是由于光线在被照射的物体表面上发生变异所引起的.能完全反射光线的物体呈白色,完全吸收光线的物体呈黑色.另外还有不少科学家,如笛卡儿、胡克等也都讨论过白光分散或聚集成颜色的问题,但他们都主张红色是大大地浓缩了的光,紫光是大大地稀释了的光这样一个复杂紊乱的理论。所以在牛顿以前,由棱镜产生的折射被假定是实际上产生了色散,而不是仅仅把已经存在的色分离开来。
(1)设计并进行三棱镜实验当白光通过无色玻璃和各种宝石的碎片时,就会形成鲜艳的各种颜色的光,这一事实早在牛顿的几个世纪之前就已有了解,可是直到十七世纪中叶以后,才有牛顿通过实验研究了这个问题.该实验被评为“物理最美实验”之一。
牛顿首先做了一个有名的三棱镜实验,他在著作中记载道:“1666年初,我做了一个三角形的玻璃棱柱镜,利用它来研究光的颜色.为此,我把房间里弄成漆墨的,在窗户上做一个小孔,让适量的日光射进来.我又把棱镜放在光的入口处,使折射的光能够射到对面的墙上去,当我第一次看到由此而产生的鲜明强烈的光色时,使我感到极大的愉快.”牛顿的实验设计:通过这个实验,在墙上得到了一个彩色光斑,颜色的排列是红、橙、黄、绿、蓝、靛、紫.牛顿把这个颜色光斑叫做光谱.
(2)进一步设计实验,获得纯光谱
牛顿在上述实验中所得到的光谱是不纯的,他认为光谱之所以不纯是因为光谱是由一系列相互重叠的圆形色斑的像所组成.牛顿为了获得很纯的光谱,便设计了一套光学仪器进行实验,其实验设计:
用白光通过一透镜后照亮狭缝S,狭缝后放一会聚透镜(凸透镜)以便形成狭缝S的像s‘.然后在透镜的光路上放一个棱镜.结果光通过棱镜因偏转角度不同而被分开,以至在白色光屏上形成一个由红到紫的光谱带.这个光谱带是由一系列彼此邻接的狭缝的彩色像组成的.若狭缝做得很窄,重叠现象就可以减小到最低限度,因而光谱也变得很纯.
(3)牛顿提出解释光谱的理论
牛顿为了解释三棱镜实验中白光的分解现象,认为白光是由各种不同颜色光组成的,玻璃对各种色光的折射率不同,当白光通过棱镜时,各色光以不同角度折射,结果就被分开成颜色光谱.白光通过棱镜时,向棱镜的底边偏折,紫光偏折最大,红光偏折最小.棱镜使白光分开成各种色光的现象叫做色散.严格地说,光谱中有很多各种颜色的细线,它们都及平滑地融在相邻的细线里,以至使人觉察不到它的界限.
(4)设计实验验证上述理论的正确性
为了进一步研究光的颜色,验证上述理论的正确性,牛顿又做了另一个实验.实验设计:
牛顿在观察光谱的屏幕DE上打一小孔,再在其后放一有小孔的屏幕de,让通过此小孔的光是具有某种颜色的单色光.牛顿在这个光束的路径上再放上第二个棱镜abc,它的后面再放一个新的观察屏V.实验表明,第二个棱镜abc只是把这个单色光束整个地偏转一个角度,而并不改变光的颜色.实验中,牛顿转动第一个棱镜ABC,使光谱中不同颜色的光通过DE和de屏上的小孔,在所有这些情况下,这些不同颜色的单色光都不能被第二个棱镜再次分解,它们各自通过第二个检镜后都只偏转一定的角度,而且发现,对于不同颜色的光偏转的角度不同.
通过这些实验,牛顿得出结论:白光能分解成不同颜色的光,这些光已是单色的了,棱镜不能再分解它们.
(5)单色光复合为白光的实验
白光既然能分解为单色光,那么单色光是否也可复合为白光呢”为此牛顿进行实验.把光谱成在一排小的矩形平面镜上,就可使光谱的色光重新复合为白光.调节各平面镜与入射光的夹角,使各反射光都落在光屏的同一位置上,这样就得到一个白色光班.
牛顿指出,还可以用另一种方法把色光重新复合为白光.把光谱画在圆盘上成扇形,然后高速旋转这个圆盘,圆盘就呈现白色.这种实验效果一般称为“视觉暂留效应”.眼睛视网膜上所成的像消失后,大脑还可以把印象保留零点几秒种.从而,大脑可将迅速变化的色像复合在一起,就形成一个静止的白色像.在电视屏幕上或电影屏幕上,我们能够看到连续的图像,其原因也正在于利用了人的“视觉暂留效应”.
(6)牛顿对光的色散研究成果.
牛顿通过一系列的色散实验和理论研究,把结果归纳为几条,其要点如下:
①光线随着它的折射率不同而颜色各异.颜色不是光的变样,而是光线本来就固有的性质.
②同一颜色属于同一折射率,反之亦然.
③颜色的种类和折射的程度为光线所固有,不因折射、反射和其它任何原因而变化.
④必须区别本来单纯的颜色和由它们复合而成的颜色.
⑤不存在自身为白色的光线.白色是由一切颜色的光线适当混合而产生的.事实上,可以进行把光谱的颜色重新合成而得到白光的实验.
⑥根据以上各条,可以解释三棱镜使光产生颜色原因与虹的原理等.
⑦自然物的颜色是由于该物质对某种光线反射得多,而对其他光线反射得少的原因.
⑧由此可知,颜色是光(各种射线)的质,因而光线本身不可能是质.因为颜色这样的质起源于光之中,所以如今有充分的根据认为光是实体.
(7)牛顿对于光的色散现象的研究方法的特点。
从以上可看出牛顿在对光的色散研究中,采用了实验归纳——假说理论——实验检验的典型的物理规律的研究方法,并渗透着分析的方法(把白光分解为单色光研究)和综合的方法(把单色光复合为白光)等物理学研究的方法.
光的色散说明了光具有波动性。因为色散是光的成分(不同色光)折射率不同引起的,而折射率由波的频率决定。光具有粒子性最典型的例子就是光电效应。
科学界对群时延畸变的研究已有很长历史,群时延畸变的本质是因为信号的传输速度(波前速度)和包络的传播速度(群速度)不相等。当群速度小于波前速度时,信号包络表现为后向畸变;反之,当群速度大于波前速度时(负群速度),信号包络表现为前向畸变。早在1914年,LBrillouin等提出波前速度是信号的传输速度,并且始终等于光速。1960年,LBrillouin提出群速度并非一直是信息的传播速度,因此群速度的超光速现象符合相对论。2006年,G. Ding等人利用人工电磁媒质的反常色散区,仿真观察到信号的负群速效应。2013年,D. Ye首次物理观测到负群速度效应。2015年,D. Ye首次物理证实波前速度是信号的传输速度,并且通过负群速度的前向畸变和正群速度的后向畸变论证包络畸变的本质。上述工作,揭示色散补偿的关键在于获得反常色散。Dmde- Lorentz色散模型虽然存在反常色散区域,但由于Krammers-Kroning关系的约束,使其带宽较窄并伴随较大损耗。因此,人工电磁媒质在色散补偿领域的应用受到一定限制。而理想non-Foster元件具有在全频带内存在反常色散的特点,因此它被广泛应用到天线和人工电磁媒质的色散补偿。自1920年,J.Merrill提出non-Foster元件的概念以来,已经发展出多种形式的non-Foster元件。比如:1953年,J. G. Linwill首次利用晶体管实现接地型non-Foster元件;1957年,A . I . Larky等利用三极管实现电流反转型non-Foster元件;1972年,A.Antoniou利用差分输入、单端输出的三端口网络实现浮地型non-Foster元件。实现non-Foster元件的方法都是基于负阻抗变换器,利用晶体管构造反馈回路,在输出端实现等效的负阻抗。利用non-Foster元件补偿色散畸变一直是研究热点。比如:2009年,S. E. Sussman-Fort等人利用食电容抵消电小天线自身阻抗的电抗值,实现工作带宽的展宽和信噪比的提高;2014年,FeiGao利用non-Foster元件对传输信号在人工介电媒质中的反射波进行补偿。在光纤通信领域已有多种手段进行群时延畸变补偿,如色散补偿光纤、啁啾光纤光栅等等。这些方法的本质都是利用反常色散获得超前群时延效应从而抵消正常色散的落后群时延效应。然而在微波领域,并没有很好的方式来实现信号包络畸变的色散补偿,成熟的技术有数字补偿。不仅是因为自然媒质的反常色散带几乎处于光学频段,并且很难利用人工电磁煤质获得较宽反常色散区域的现实;同时,又因为non-Foster元件的电路结构限制其只能并联接入电路,利用non-Foster元件进行色散补偿的方法始终停留在对反射波进行色散补偿的层面 。
传统的声光偏转器的色散补偿方法利用的原理是使用另一个色散器件提供符号相反的色散量以补偿声光偏转器的色散。但是局限性在于其提供的色散量是一个常量,而声光偏转器的色散是随着驱动频率的变化而变化的。因此传统的色散补偿方法仅能对声光偏转器的特定工作频率点进行补偿,在其他工作频率无法良好补偿色散,在其他工作频率处光束质量达不到衍射极限。本章提出了一种利用高色差的开普勒望远镜补偿声光偏转器色散的新方法,可以在声光偏转器的整个工作频率范围内对色散进行补偿。声光偏转器的角色散已有多种补偿方法,但这些方法或者只能补偿中心频率的色散,例如采用棱镜、光栅或另一个声光偏转器实现补偿;或者存在其他局限性,例如衍射器件存在工作频率单一、通光效率不高、干扰级次影响成像质量、加工成本高的问题。传统色散补偿器件是棱镜和光栅,以棱镜为例,使棱镜产生与声光偏转器工作在中心频率状态下的色散相反等大的角色散,即可实现一定程度上的补偿,但仍存在残余色散。
1、本站所有文本、信息、视频文件等,仅代表本站观点或作者本人观点,请网友谨慎参考使用。
2、本站信息均为作者提供和网友推荐收集整理而来,仅供学习和研究使用。
3、对任何由于使用本站内容而引起的诉讼、纠纷,本站不承担任何责任。
4、如有侵犯你版权的,请来信(邮箱:baike52199@gmail.com)指出,核实后,本站将立即删除。

















