-
速度 编辑
物理学中,用速度来表示物体运动的快慢和方向。速度在数值上等于物体运动的位移,跟发生这段位移所用的时间的比值。速度的计算公式为v=Δx/Δt,国际单位制中速度的单位是米每秒。
中文名:速度
外文名:velocity
所属学科:物理学
常用描述:大,小
矢量性:矢量
国际单位:ms-1或m/s
表示方式:v
性质:具有矢量性、相对性、瞬时性,是描述质点运动的状态参量。
计算公式:v=Δx/Δt
速度(velocity),表征动点在某瞬时运动快慢和运动方向的矢量。在最简单的匀速直线运动中,速度的大小等于单位时间内经过的路程。速度的常用单位有:厘米/秒,米/秒,千米/小时等。速度的大小也称速率。动点Q作一般空间运动时,位移Δr和所用时间Δt的比,称为Δt时间内的平均速度,记为v平。
平均速度公式
平均速度和瞬时速度
速度
速端图清晰图象
速度在各坐标系中的表示方法如下:
直角坐标系
可用于表示点的空间曲线运动、平面曲线运动和直线运动的速度。
①空间曲线运动
空间曲线运动
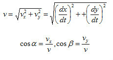
式中v为速度的模vx、vy、vz为动点速度v在直角坐标系x、y、z轴上的投影,
公式
为动点位置坐标对时间的导数;α、β、γ为速度矢量v与坐标轴x、y、z的夹角。
②平面曲线运动
公式
③直线运动
速度v等于坐标对时间的导数,是一代数量,正值表示速度方向沿x轴正向,负值表示沿x轴反向。
公式
极坐标系
可用于表示点的平面曲线运动的速度。速度v在极坐标中可分解为横向速度vφ和径向速度vr;
极坐标系
它们都是代数量。vφ为正时,表示它指向φ增加的方向;vr为正时表示它指向r增加的方向(图3)。
极坐标系
球坐标系
可以用于 表示点的空间曲线运动的速度。速度v在球坐标系(r、φ、θ)中可表示为三个投影(图4)
球坐标系
柱坐标系
可用于表示点的空间曲线运动的速度。速度在柱坐标系 (r、φ、z)中可表示为三个投影(图5):
柱坐标系
速度是描述物体运动快慢和运动方向的物理量,定义为位移与发生这个位移所用的时间之比。
速度是矢量。
初中的定义:把路程与时间之比,叫做速度。
高中的定义:速度等于位移和发生位移所用时间的比值。
符号:v【注:希腊字母υ表示另一物理量“位移”】
定义式:v=s/t。
在国际单位制中,基本单位:米/秒(m/s)
物理意义:速度是描述物体运动快慢的物理量。
性质:矢量。国际单位制中,速度的量纲是LT^(-1),基本单位为米每秒,符号m/s。
最大值:真空光速c=299 792 458m/s。
相关名词速率:速度的大小叫做速率,常叫做速度。运动物体在某一时刻(或某一位置)时的速度,叫做瞬时速度。
公式
【中学物理定义式】
初中公式
高中公式
速度是描述质点运动快慢和方向的物理量,等于位移和发生此位移所用时间的比值。在匀速直线运动中,物体在单位时间内通过的路程叫做速度。
【大学物理定义式】
速度是描述质点运动快慢和方向的物理量,等于位移对时间的微分。同时也等于加速度对时间的积分。
【符号解释】
v:速度矢量,单位:m/s
s:位移矢量,单位:m
t:时间,单位:s
单位
速度在国际单位制的最基本单位是米每秒,国际符号是m/s,中文符号是米/秒。
常用单位:千米/时,国际符号是km/h。
单位换算:1 m/s=3.6 km/h。
速率
瞬时速度的数值大小叫做瞬时速率。但平均速率不是平均速度的大小,而是路程与时间的比值。
瞬时速度
是运动的物体在经过某一个位置,或在某一个时刻的速度。也可以说它是指运动物体经过某一点或在某一瞬时的速度。速度公式
平均速度
物体通过的位移和所用时间的比值,叫做平均速度(无论做任何形式的运动)。是物体位移跟发生这个位移所用的时间间隔之比, 速度公式
在匀速直线运动中,平均速度与瞬时速度相等。
在匀加速直线运动中,平均速度的大小与初速度和末速度的平均值相等,也等于中间时刻的瞬时速度。即:
补充说明
1.物理上的速度是一个相对量,即一个物体相对另一个物体(参照物)位移在单位时间内变化的的大小。2.
物理上还有平均速度:物体通过一段位移和所用时间的比值为物体在该位移的平均速度,平时说的多是瞬时速度。3.
平时形容单位时间做的某种动作的快慢或多少时也会用到速度。比如:打字速度、翻译速度。4.
速度只能用大小来描述,用快慢描述是不准确的。比如:速度大、速度小。5.
速度是矢量,无论平均速度还是瞬时速度都是矢量。区分速度与速率的唯一 标准就是速度有大小也有方向,速率则有大小没方向。
下面是一些常见的动物奔跑速度,为平均速度,以上多少公里皆为每小时的奔跑速度。
常见运动
运动类型 | 速度v | 单位 |
|---|---|---|
人步行的速度 | 1- 2 | m.s-1 |
自行车行驶 | 4- 6 | m.s-1 |
汽车高速行驶 | 100-120 | km.h-1 |
喷气式客机 | 800-900 | km.h-1 |
第一宇宙速度 | 7.9 | km.s-1 |
电磁波 | 300000 | km.s-1 |
速度极限
光在真空中的速率是299,792,458米/秒,约3×105千米/秒,是已知的速度上限。
(由爱因斯坦提出:没有任何物体的速度能超越光速。)
如果按比例放大的话,世界上速度最快的动物是一种名字叫“虎蛱”的昆虫,放大到质量和人一样,它的时速可以达到400多公里每小时。
1.爬行类动物的速度冠军 美国的一种蜥蜴,它逃跑时的最大时速达24公里。2.
昆虫当中的游速(水面)最快的冠军 鼓甲,鞘翅目,豉甲科,甲虫。体色深,有光泽,成群生活于池塘表面。移动迅速,多用桨状的中足和後足划水,绕一个小圆圈旋转游泳。复眼分成两对,分别用以观察水上和水下的景物。食水表面的昆虫(但是方向感不强,总是在水面迷失方向)3.
爬行类动物的游泳冠军 太平洋中的棱皮龟,其爬行速度最高达35.2公里/小时。4.
飞得最快的昆虫 澳大利亚蜻蜓,它短距离的冲刺速度可达每小时58公里。5.
跑得最快的鸟鸵鸟,75千米/小时。6.
长跑最快的动物 藏羚羊具有特别善奔跑的优点,奔跑速度可达每小时70~110公里,即使是妊娠期满临产的雌藏羚,也会以很快的速度疾奔,它还是高原严酷环境下奔跑最快的动物。7.
陆地上短跑最快的动物 非洲的猎豹是陆地上短跑最快的动物,时速可达110公里。 它的长距离奔跑时速仅为60公里左右。 它们最快的速度只能维持一分钟,接着便得花上二十分钟时间喘息、恢复。8.
长距离游速最快的鱼类 金枪鱼,游速达230公里。9.
游得最快的鱼类 旗鱼,游速每小时达120公里,比轮船正常航行的速度要快三四倍。10.
长距离飞的最快的动物 尾部有脊骨的褐雨燕(也称楼燕),它的时速高达170.98公里,最快352.5公里。一般速度为每小时110-190公里,是长距离飞行最快的鸟类。11.
短时间飞得最快的动物 游隼,它俯冲时飞行迅速,在天空中向下俯冲速度最高可达360公里。大多数时候都在空中飞翔巡猎,发现猎物时首先快速升上高空,占领制高点,然后将双翅析起,使翅膀上的飞羽和身体的纵轴平行,头收缩到肩部,以每秒钟75—100米的速度,呈25度角向猎物猛扑下来。
食肉动物
猎豹120公里/h(世界上跑的最快的动物)
美洲狮80公里/h
美洲豹70公里/h
豹70公里/h
老虎65公里/h
雪豹64公里/h
灰狼64公里/h
非洲野狗62公里/h
猞猁62公里/h
鬣狗62公里/h
北极熊60公里/h
豺56公里/h
棕熊56公里/h
黑熊52公里/h
野猪60公里/h
食草动物
跳羚95公里/h
野驴85公里/h
长颈鹿72公里/h
袋鼠65公里/h
鹿65公里/h
马62公里/h
野牛60公里/h
斑马65公里/h
犀牛56公里/h
骆驼50公里/h
野兔52公里/h
河马48公里/h
大象40公里/h
人和其他动物
狗52公里/h
猫45公里/h
家兔32公里/h
人28公里/h
速度在位移相同的情况下,比较所用时间的长短。用的时间短,跑得快;用的时间长,跑得慢。换句话讲,除了首段的理解,继续往下想就变成:物体在任何时刻都是存在与空间中的,物体呆在空间中任一点是有一定时间的。写成公式的形式就是
速度就造就了成功,没有速度就没有成功。 ——莎士比亚
机器人在工作强度、运算速度和记忆功能方面可以超越人类,但在意识、推理等方面不可能超越人类。——周海中
延缓速度就是落后,而落后者是要挨打的。 ——斯大林
1、本站所有文本、信息、视频文件等,仅代表本站观点或作者本人观点,请网友谨慎参考使用。
2、本站信息均为作者提供和网友推荐收集整理而来,仅供学习和研究使用。
3、对任何由于使用本站内容而引起的诉讼、纠纷,本站不承担任何责任。
4、如有侵犯你版权的,请来信(邮箱:baike52199@gmail.com)指出,核实后,本站将立即删除。

















